Một chuyên gia dự đoán Bitcoin sẽ vọt gần 80% lên 5,000 USD
Sau khi xem xét kỹ lưỡng các đồng tiền kỹ thuật số vào đầu tháng 7 vừa qua, Chuyên gia phân tích nghiên cứu chứng khoán độc lập, Ronnie Moas, đã công bố 2 phần đầu tiên của báo cáo dài 122 trang về Bitcoin và các đồng tiền kỹ thuật số khác, CNBC cho hay.
“Theo quan điểm của tôi, một khi đà tăng đã bắt đầu thì không thể dừng lại được. Do đó, các đồng tiền kỹ thuật số sẽ tiếp tục tăng và giành lấy thị phần từ chứng khoán, các kim loại quý khác, trái phiếu và các đồng tiền”, Moas, nhà sáng lập của Standpoint Research, cho biết trong báo cáo.
Ông nhận định: “Tôi nghĩ nhà đầu tư nên thử đầu tư vào các đồng tiền kỹ thuật số và nắm giữ trong vài năm. Nếu bạn mất một chút tiền thì chẳng sao cả, ít nhất là bạn đã thử. Trong cuộc sống, bạn bỏ lỡ cơ hội nếu không dám thử. Và có lẽ sẽ còn phiền não hơn khi đứng bên ngoài và nhìn các đồng tiền kỹ thuật số tăng thêm 1,000% nữa”.

Ông Moas dự báo Bitcoin sẽ chạm mục tiêu giá 5,000 USD vào năm 2018, tức tăng gần 80% so với mức đóng cửa ngày thứ Hai với gần 2,800 USD. Ngoài ra, ông cũng kỳ vọng đồng Ethereum sẽ tăng gấp đôi về giá trị từ 200 USD lên 400 USD trong năm tới, và một đồng tiền kỹ thuật số khác là Litecoin cũng leo dốc từ 40 USD lên 80 USD.
Trong một hoặc hai tuần tới, ông Moas cho biết ông lên kế hoạch công bố phần thứ 3 của bản báo cáo dài 122 trang về một đồng tiền kỹ thuật số thứ tư và có quy mô nhỏ hơn 3 đồng tiền trên.
Nhà phân tích chứng khoán này cho biết ông đã mua 10 trong 20 đồng tiền kỹ thuật số hàng đầu (xét theo vốn hóa thị trường) nhằm đa dạng hóa danh mục. Lần đầu tiên trong 20 năm, ông rót tiền vào những khuyến nghị của chính mình.
Trong báo cáo của mình, ông Moas nhận định: “Theo quan điểm của tôi, 10-15 năm nữa, biểu đồ về một số đồng tiền kỹ thuật số hàng đầu sẽ giống như đồ thị của cổ phiếu của Amazon, Apple, Tesla, Facebook, Netflix, và Google ngày nay”.
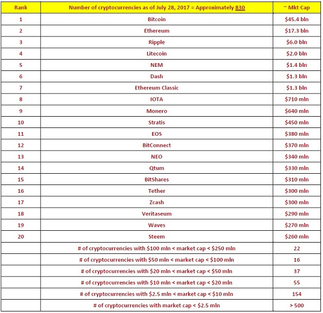
|
Bảng xếp hạng 20 đồng tiền kỹ thuật số theo vốn hóa thị trường
Nguồn: Standpoint Research
|
Báo cáo của ông Moas được công bố trước khi nền tảng Blockchain của đồng Bitcoin có khả năng bị phân tách vào ngày thứ Ba, nếu một số nhà phát triển tiền ảo chấp thuận một tài sản mới được biết tới là Bitcoin Cash. Sau quá trình phân tách, những người nắm giữ trực tiếp đồng Bitcoin sẽ nắm giữ 2 phiên bản của đồng tiền này.
Đồng Bitcoin đã chạm mức cao kỷ lục tại 3,025 USD vào giữa tháng 6/2017, và rồi giảm xuống 1,837 vào giữa tháng 7. Và trong ngày thứ Hai, đồng tiền này đã hồi phục 1,000 USD lên gần mức 2,800 USD trong ngày thứ Hai, dữ liệu từ CoinDesk cho thấy.
|
Bitcoin (2010-2017)
Nguồn: CoinDesk
|
Vào ngày 05/07/2017, ông Moas cho biết ông đã mua một ít đồng Bitcoin, Ethereum và Litecoin, đồng thời kỳ vọng Bitcoin có thể chạm mức 5,000 USD trong vài tháng. Sau đó, ông đã công bố một bài báo trên Reddit để trình bày quan điểm của mình về các đồng tiền kỹ thuật số.
Kể từ đó, sự chú ý của các tổ chức vào đồng Bitcoin chỉ có tăng thêm.
Nhà đồng sáng lập Fundstrat, Tom Lee, trở thành chiến lược gia đầu tiên trên Phố Wall công bố một báo cáo về Bitcoin vào ngày 07/07/2017. Chưa đến 1 tuần sau đó, nhà điều hành thị trường tài chính của Thụy Sỹ ủy quyền cho Falcon Private Bank quản lý Bitcoin cho khách hàng. Ngoài ra, Ủy ban Giao dịch Hợp đồng hàng hóa Tương lai Mỹ (CFTC) chấp thuận nền tảng của các hợp đồng quyền chọn về Bitcoin đầu tiên vào ngày thứ Hai tuần trước.
Sau đó, Ủy ban Giao dịch Chứng khoán Mỹ (SEC) cũng công bố một báo cáo và các bản tin đầu tư về ICO (initial coin offerings).
Hiện mức vốn hóa 80 tỷ USD của thị trường tiền ảo chỉ chiếm 0.25% của tổng giá trị vốn hóa 200 ngàn tỷ USD của thị trường vàng, tiền mặt, chứng khoán và trái phiếu. Do đó, ông Moas nhấn mạnh các đồng tiền kỹ thuật số cần tăng thêm gấp 25 lần để chiếm 1% của thị trường vốn nói chung.
Nếu các đồng tiền kỹ thuật số trở thành một phần của các mô hình phân phối tài sản và chiếm 2-4% thị trường vốn thì các đồng tiền kỹ thuật số có khả năng tăng gấp 100 lần về giá trị, ông Moas chia sẻ.
Dĩ nhiên, ông Moas cũng chỉ ra hàng loạt rủi ro trong việc đầu tư vào các đồng tiền kỹ thuật số, bao gồm mức biến động cao, khả năng bị hack với quy mô lớn và có khả năng bị áp đặt quy định, đặc biệt là ở Trung Quốc./.








